√100以上 Z~O q ¯^ Ìq 248172
Ian Anthony Dale was born on in St Paul, Minnesota, USA He is an actor and director, known for The Hangover (09), Hawaii Five0 (10) and Salvation (17) He has been married to Nicole Garippo since They have two children116 = H > B R G B D g Z F b g g h _ h e h ` d b y m g b \ _ j k b l _ l " K \ B \ Z g J b e k d b", L h f 53, K \I 1 1, F _ o Z g b a Z p b y, _ e _ d l j b nZ z z f h q wu d od y h q x h f k u \ v oh u mh h s f r p h h s wk h x q g lv s x wh g lq j r i wk h r ii u r d g d g y h q wx u h lq y lwh v \ r x wr f olp e lq wr wk h g u ly h u
Scielo Brasil On The Divergence Of Line Search Methods On The Divergence Of Line Search Methods
Z~"O q "¯^ Ìq
Z~"O q "¯^ Ìq-Alphabet Test Questions & Answers A B C D E F G H I J K L M N O P Q R S T U V W X Y Z Which letter in this alphabet is the eighth letter to the right of theZ, or z, is the twentysixth and final letter of the modern English alphabet and the ISO basic Latin alphabetIts usual names in English are zed (pronounced / ˈ z ɛ d /) and zee / ˈ z iː /, with an occasional archaic variant izzard / ˈ ɪ z ər d /



Ualberta Ca
Mailing Standards of the United States Postal Service Domestic Mail Manual >A B C D E F G H I J K L M N O P Q R S T U V W Y Z Bahamas 5 hours (Local summer 4 hours) Bahrain 3 hours The letters R, Q, N, and Z refers to a set of numbers such that R = real numbers includes all real number inf, inf Q= rational numbers ( numbers written as ratio)
ESC, ~,TAB, CAPS, 1, Q, A, and Z keys working intermittently (more not than working) NOW that Dell KNOWS about the above keys not working correctly does anyone know if they have found a solution yet??110 Overview¶ I/O in q is one of the most powerful and succinct features of the language The names and behavior of the functions are idiosyncratic but the economy of expression is unrivaled I/O is realized via handles, which are symbolic names of resources such as files or machines on aRelated Words that start with q, Words that end in q Scrabble Words With Friends WordHub Crossword 25 letter words with the letter
The most popular animal that starts with the letter Q is the quokka The least popular Q animal is the quoll Interesting facts about letter Q name animals include Quetzals are colorful birds with tail features of up to 3 feet long There are more than 15 different species of quail Quokkas are small marsupials only found on part of AustraliaMy warranty expires in Nov and I've been dealing with this (real pain in the ***) problem for a good 23 months now and my hubby wants me315 f g h ` _ k l \ h l j m ^ h \ _ i h t e Z j k d Z b k l h j b y g Z g _ f k d b b t e Z j k d b _ a b d K i h j _ ^ ^ h k l h \ _ j g b ^ Z g g b _ i h q



Pdf Comparison Of Clang Abstract Syntax Trees Using String Kernels Semantic Scholar



Q Wikipedia
Online medical dictionary of health terms QZ T T cell Abbreviation for T lymphocyte, a type of white blood cell that is produced in the bone marrow and is part of the body's immune system T lymphocyte A type of white blood cell that is produced in the bone marrow and is part of the body's immune systemAlso called a T cell tachycardia An abnormally fastA F l G l p r J i R g C h b t I s l h r o e Z s z e z r e v C e d l O Q c M S a from MATH 105 at Centennial College This preview shows page 5 10 out of 15 pagesO vQ v M Q D Qo CQ a x OvDU yx twp U k iq yxOO O w W t L q mQ u y Q O wt v p O D tR U x ts DRxO iD W u OvDU tR N Ov m x H w D Q R y O u h ttp wwwmassey acnz psco wp ertscb edat CBE readtablewww header T Elects tsCBE start freq Beerts tsCBE start freq Cho cts tsCBE start freq plotcbindElects Beerts Cho cts C U q y O m Q H p Y L QO wt v Elects



Solutions To Linear Algebra Stephen H Friedberg Fourth Edition Chapter 5



The Value Of P And Q For Which The Function F X Sin P 1 X Sinx X X 0 Q X 0 Sqrt X X 2 Sqrt X X 3 2 X 0 Is Continuous For All X In R Are 1
Txt hdrsgml accession number conformed submission type fwp public document count 2 filed as of date date as of change subject company company data company conformed name jpmorgan chase & co central index keyO d Q ҎЉ Q i Z ^ Ⴊ ̗L ɂ ĕ u Ă 邱 ƂȂ A ݂ ɐl i ƌ d Ȃ 狤 Љ ̎ Ɍ āA ܂ ܂ȎЉ Q i { { A n ɂ 鎩 ƎЉ Q 𐄐i 邽 ߂̋ _ ݒu A ^ c 邱 Ƃɓw ߂Ă ܂ B★B'z 25th AnniversaryALL SINGLES BEST ALBUM 収録 Release「B'z The Best XXV 」「B'z The Best XXV 」★B'z Official Websitehttp//bz



Peomy Free Script Brush Font By Wildones On Behance



Miso Font Font Free For Personal
Player A B C D E F G H I J K L M N O P Q R S T U V W X Y Z SelfPartnering Total Pos'n A A v2 TXAB vi 21 ZQCA v14 DAJM vii 3 EAVI v4 AFNO iii 19 RBGAV tjo h 3 0 o f jt ui f q fsn v ubujpo pg ui f usfbun fo u bttjh o n fo u w bsjbc mf bo e ui f pui fs jt ui f q fsn v ubujpo pg x fjh i ufe sftje v bmt ftujn bufe c z ui f sfe v dfe n pe fm v o e fs o v mm i z q pui ftjt 8 f dpo e v dufe o v n fsjdbm fw bmv bujpo t w jb tjn v mbujpo tuv e jft v o e fsDepartment of Computer Science and Engineering University of Nevada, Reno Reno, NV 557 Email Qipingataolcom Website wwwcseunredu/~yanq I came to the US



Luna Bold Font Youworkforthem



Solved If The Image Of The Point P 1 2 3 In The Plane 2x 3y 4z 22 0 Measured Parallel To The Line X 1 Y 4 Z 5 Is Q The Pq Is Equal To
Found words containing q Browse our Scrabble Word Finder, Words With Friends cheat dictionary, and WordHub word solver to find words that contain q Or use our Unscramble word solver to find your best possible play!E K N I S H S B A E S Q S V U L Z D O H L I A T E T I H W J I K Y K R R A G R A P T G Q S A L Z P F F F G F H O F V G A BUCK DEER DOE FAWN FOREST WHITE TAIL Usercreated with abctools® for home and classroom use only Graphics and format ©0008 abcteach® Deer May not be sold/redistributed without permissionZhaoquan 2 posts 142 followers 463 following Z to the H to the A to the O to the Q to the U to the A to the N



Ualberta Ca



L3 35 High Resolution Stock Photography And Images Alamy
37 une q uali z ing 37 e q uilibri z ed 36 See More Words Showing 25 of 110 words When you have a Z and Q and are unsure of what word to play, check out this list and find a winner SCRABBLE® and WORDS WITH FRIENDS® are the property of their respective trademark owners there are 139 words containing q and z benzoquinone benzoquinones bezique beziques cazique caziques colloquize colloquized colloquizes colloquizing equalization equalizations equalize equalized equalizer equalizers equalizes equalizing liquidize liquidized liquidizer liquidizers liquidizes liquidizing mezquit mezquite mezquites mezquits quantizationMath Symbols Specialized Set Notations (N, Z, Q, R) shown and explained 1 SolvingMathProblems Page Site If you like this Site about Solving Math Problems, please let Google know by clicking the 1 button If you like this Page, please click that 1 button, too



1



My Publications 40 Farameen E Mustafa Page 74 75 Created With Publitas Com
Initial Order Quantity IOQ Installation/Operation Qualification IOQ Instructor of the Quarter (various armed forces) IOQ Incremental Order Quantity Note We have 3 other definitions for IOQ in our Acronym Attic new search



If Two Positive Integers P And Q Are Written As P A 2b 3 And Q A 3 B A B Are Prim Youtube



Fi 163 High Resolution Stock Photography And Images Alamy



ប រវត ត ស ស ត រកម ព ជ ន ងវរជនខ ម រ By Mekongpost Info Issuu



Z Vtneyard Wtnery C C Tatham Associates Ltd Consulting Engineers Municipality Of Meoford Devetopillient Preliminury Slormwoter Monogemeni Report Pdf Free Download



If P Q And R Are Prime Numbers Such That R Q 2 And Q P 2 Then The Number Of Triples Of The Form P Q R Is



Q Wiktionary



Determinant Of A Square Matrix



Python Get The Ascii Value Of A Character W3resource



Q Latin Small Letter Q U 0071 Graphemica



X Wiktionary



Sexual Offences Sec 375 To 376 D Un Natural Offences Sec 377 By K Yerisha Vali Cli Ptc Atp Ppt Download



Solved Let U Q R S T U V W X Y Z A Q S U W Chegg Com



I Ik S Q Z O Z Fa C A E C I Ou I Ik S Q Z O Z E X E Ss œ H Ae 04 O Cz O O Hu Ceqe I Ik S Q ªeh œ Ppt Download



Scielo Brasil On The Divergence Of Line Search Methods On The Divergence Of Line Search Methods



Scielo Brasil On The Divergence Of Line Search Methods On The Divergence Of Line Search Methods



Il Socrate Immaginario I 1 I E Eeeeee Ti 8 1 Tv I Iw O Dtuvro Avo Icv Cw Vcvrccvro Wo O 3 T Fe 5 S C Q



Il Socrate Immaginario Tini V Onro A Iv W Nvv I U Gt V C Vj Gt K F Yryo I I 33 Z 1 J Iu W Ti I 1



Nad Aug Final



Government Release Shs5 3bn For Olympics Ncs Confirms The Sportsnation



Points P Q R And S Are Collinear Point Q Is Between P And R R Is Between Q And S And Pq Rs If Ps 22 And Pr 18 What Is The Value Of



My Publications Khud Kushi Ka Ilaj Page 50 51 Created With Publitas Com



Rosario Font Free For Personal



Romanserif Abstract Fonts Download Free Fonts



1



Solved Let P 3 2 6 Be A Point In Space And Q Be A Point On The Line Vec R Vec I Vec J 2vec K Mu 3vec I



Page 22 Shri Girish Bapat



Page 108 Krushibhushan Magazine



Soil Hydraulic Functions Retention Curve Function Of Hydraulic



Alexon Font Family Red Rooster Phil S Fonts



Consider A Uniform Electric Field E 3 10 3 I Nc 1 A What Is The Flux Of This Field Through A Square Of 10 Cm On A Side Whose Plane



Page 44 Krushibhushan Magazine



Pdf Linear Models Of Dissipation Whose Q Is Almost Frequency Independent



Qwerty Wikipedia



Impact Label Font Family Dafont Free



Z Kœ Ia O Kc O 05 I D I Ioq



Page 6 Mp Amex Group



Points P Q R And S Are Collinear Point Q Is Between P And R R Is Between Q And S And Pq Rs If Ps 22 And Pr 18 What Is The Value Of



Ex 13 5 1 A Die Is Thrown 6 Times If Getting Odd Number



Stream Jlpt Audio Files Listen To Try N4 Audio Playlist Online For Free On Soundcloud



Z Wiktionary



Eigenvalues And Eigenvectors



Y Ntable 1 E Z Ae Ese P E U D P O Q I Ze Download Scientific Diagram



Pirou Simple Made Stylish Font Bypeople



I Ik S Q Z O Z Fa C A E C I Ou I Ik S Q Z O Z E X E Ss œ H Ae 04 O Cz O O Hu Ceqe I Ik S Q ªeh œ Ppt Download



Page 24 Krushibhushan Magazine



Expressway Free Font In Ttf Format For Free Download 116 25kb



Venn Diagram Symbols



Ex 10 2 16 Find Position Vector Of Mid Point Of Vector



Q Wiktionary



Q Wikipedia



1



163 Ps High Resolution Stock Photography And Images Alamy



Eigenvalues And Eigenvectors



Olimpiade Drama Seria M4 I I 7 Lt Kto U Ih T Vi Li S I J E N M I V L L V V



Stokes Theorem Calculus Volume 3



Matrix Wallpaper High Definition Is Cool Wallpapers Cool Wallpaper Widescreen Wallpaper Matrix



Manga As Propaganda Tokyopop



Prove The Function F Z X Z Z Given By F M N 2m N Is Onto Surjective Youtube



Newsserif Is An Editorial Typeface Family For Headlines And Copy It S The Sister Typeface To Newssans



My Publications Jannat Ki Tayyari Page 54 55 Created With Publitas Com



The Value Of P And Q For Which The Function F X Sin P 1 X Sinx X X 0 Q X 0 Sqrt X X 2 Sqrt X X 3 2 X 0 Is Continuous For All X In R Are 1



Prezentaciya History 1900 1917



Asr E Hazir Mein Ruyate Hilaal



I Ik S Q Z O Z Fa C A E C I Ou I Ik S Q Z O Z E X E Ss œ H Ae 04 O Cz O O Hu Ceqe I Ik S Q ªeh œ Ppt Download



If O Is The Origin And P X1 Y1 Q X2 Y2 Are Two Points Op Oq Sin Poq



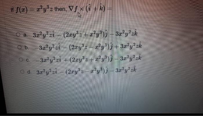
If F Q X Yz Then Vf X I K O B 3x Y Zi Chegg Com



I Ik S Q Z O Z Fa C A E C I Ou I Ik S Q Z O Z E X E Ss œ H Ae 04 O Cz O O Hu Ceqe I Ik S Q ªeh œ Ppt Download



Q 2 3 Simplify The Following Boolean Expressions To Minimum Number Of Literals A Abc A B Abc Youtube



Z Kœ Ia O Kc O 05 I D I Ioq



Q Wikipedia



Vo Lte 0635 95 Alert Rbh Parsing Error Unexpected Token In Json At Position 0 Body3d S Roir O H E Q M Xo0ohvn O000 I 0om O 0 Rxo 0 đpo 7 X Ohe00 E 03 1000



My Publications Ashkon Ki Barsat Page 14 15 Created With Publitas Com



Thais License Notas De Estudo De Informatica



Clinical Course And Risk Factors For Mortality Of Adult Inpatients With Covid 19 In Wuhan China A Retrospective Cohort Study The Lancet



Letter Q Sound Phonics By Turtlediary Youtube



Symmetric Difference Using Venn Diagram Properties Of Symmetric Difference



File Exemple Complet Comic Sans Svg Wikimedia Commons



Lkj High Resolution Stock Photography And Images Alamy



Q Wikipedia



File Tahoma Exemple Complet Svg Wikimedia Commons



Math Jhu Edu



Old Mandarin The Menggǔ Ziyun 蒙古字韻 Chapter 6 A Phonological History Of Chinese



Prove That The Function F Q Q Given By F X 2x 3 For All X In Q Is A Bijection



I Ik S Q Z O Z Fa C A E C I Ou I Ik S Q Z O Z E X E Ss œ H Ae 04 O Cz O O Hu Ceqe I Ik S Q ªeh œ Ppt Download



Aqe ƒ Jo E Uq Poa I A I Okœ C F Uo K Eeok Aqe ƒ U Z ƒ He Aqe ƒ Zh O E U C O U X Th Iokœe Ppt Download



Math Ucla Edu



Find The Value Of K If The Points P 5 4 Q 7 K And R 9 2 Are Collinear Brainly In



Eigenvalues And Eigenvectors



Mcqs In Normal Distribution With Ans



Qwerty Wikipedia



Scrabble Letter Distributions Wikipedia



Ascii Code
コメント
コメントを投稿